

地址:北京市密云区高岭镇政府办公楼
王经理 13393261468
Q Q:514468705/1049705527
邮箱:jhcxkj@163.com
在规模较大的数据中心机房,数台甚至十几台柴油发电机并列运行的情况越来越多。在市电中断时,柴油发电机除在最快的时间内能自起动外,还应该最大限度的满足应急负荷的起动及供电容量要求,若容量选择小,电动机起动时电压降过大,容量选得过大,则运行经济效益差。文中探讨了该如何选择单台柴油发电机的容量,选用几台柴油发电机并列才能既满足系统的应急要求,又不造成容量的浪费的问题。
柴油发电机是内燃发电机的一种,它以柴油为一次能源,柴油机为原动机,它有如下几个特点:
① 燃料价格便宜,容易保存;
② 构造简单,辅助设备少;
③ 起动迅速,带负荷和停机的动作时间短;
④ 操作维护简单、方便。
正是因为上述特点,柴油发电机在数据中心的使用范围也越来越广泛。随着数据中心机房规模的逐步扩大,高级别配电系统的数据中心机房也在成比例的增加,由于A级机房要求供电系统不能中断,所以,在规模较大的数据中心机房,数台甚至十几台柴油发电机并列运行的情况越来越多。在市电中断时,除在最快的时间内能自起动外,还应该最大限度的满足应急负荷的起动及供电容量的要求,若容量选择小,电动机起动时电压降过大。容量选得过大,则运行经济效益差。那么,该如何选择单台柴油发电机的容量呢?选用几台柴油发电机并列才能既满足系统的应急要求,又不造成容量的浪费呢?
1 柴油发电机的功率
(1) 持续功率(COP)(恒定负荷持续运行)
COP为在商定的运行条件下并按照制造商的规定进行维护保养,机组以恒定负载持续运行,且每年运行时间不受限制的最大功率。
(2) 基本功率(PRP)(变负荷持续运行)
PRP为在商定的运行条件下并按照制造商的规定进行维护保养,机组以可变负载持续运行,且每年运行时间不受限制的最大功率。
(3) 限时运行功率(LTP)
LTP为在商定的运行条件下并按照制造商的规定进行维护保养,机组每年运行时间可达500h的最大功率。
(4) 应急备用功率(ESP)
(变负荷限时运行)ESP为在商定的运行条件下并按照制造商的规定进行维护保养,在市电中断或在试验条件下,机组以可变负载运行且每年运行时间可达200h的最大功率。
数据中心机房的应急柴油发电机性能等级不应低于G3级;A级数据中心发电机组应按照基本功率(PRP)选择;B级数据中心发电机组的输出功率可按照限时运行功率(LTP)来选择。
2 选择柴油发电机的必要条件
选择柴油发电机的必要条件如下:
(1) 安装现场的环境温度、湿度和海拔高度
当使用环境的温湿度和海拔高度超过发电机的额定值时,发电机需要降容使用;
(2) 柴油发电机供电负荷总容量
需要所有柴油发电机供电负荷的容量数据,包括装机容量、负荷系数、功率因数等。电动机负荷还要给出台数、效率、起动电流倍数等参数;
(3) 起动顺序
①按照负荷的重要性分出起动的先后顺序;
②按照负荷大小及起动电流大小,同样重要的电动机容量大、起动电流大的优先。
③系统允许的电压降,常用电气设备端子的电压偏差允许值。

电动机起动时,其端子电压应能保证被拖动机械要求的起动转矩,且在起动时,配电母线上的电压应符合下列要求:
电动机不频繁起动时,不宜低于标称电压的85%(数据中心机房在柴油发电机供电时,电动机属于不频繁起动的情况);
配电母线上未接照明或其他对电压下降敏感的负荷时,不应低于标称电压的80%;
配电母线上只有电动机时,可按照保证电动机起动转矩的条件决定;对于低压电动机,还应保证接触器线圈电压不低于释放电压(从产品样本中可以查到,查不到样本时,可按照70%考虑)。
3 柴油发电机的容量选择和计算
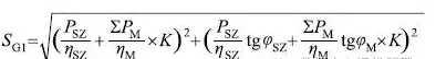
(1) 计算全部应急负荷的容量式中

SG1——按所供全部应急负荷计算的发电机容量,kVA;PSZ——事故照明负荷,kW;ηSZ——事故照明负荷的效率;tgφSZ——事故照明负荷功率因数角的正切值;
PM——电动机的额定容量,kW;ηM——电动机的额定效率,通常可以取0.8~0.9,或由产品样本中查得;tgφM——电动机功率因数角的正切值;K——需要系数,在数据中心机房应急情况下取1.
(2) 考虑发电机过负荷能力的计算式中

SG2——按满足需要起动的大容量电动机起动时计算的发电机容量,kVA;
P0——PMmax投运前已投入运行的负荷容量,kVA;
cosφ0——P0负荷的功率因数;
sinφ0——P0负荷的功率因素角的正弦值;
PMmax——投入的最大容量电动机的额定容量,kW;
cosφMmax——最大容量电动机的起动功率因数;
sinφMmax——最大容量电动机的起动功率因数角的正弦值;
KG——发电机的过负荷倍数,一般可取1.5;
β'——相当于PMmax电动机起动时的kVA值与电动机额定容量kW值之比;
β'=β/ηmn×cosφmn
上式中,β——电动机的起动电流倍数;
ηmn——最大容量电动机的效率;
cosφmn——最大容量电动机的功率因数;
Kq——起动电流倍数,详见表2。

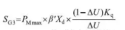
(3)按起动时允许电压降计算

式中,SG3——满足大容量电动机起动时允许电压降计算的发电机容量,kVA;
Xd——发电机的电抗,为发电机暂态电抗X'd和次暂态电抗X''d的算术平均值,即Xd=(X'd+X''d)/2,当查不到产品样本时,Xd一般可取0.15~0.3;
ΔU——起动时母线允许的电压降,一般可取0.25~0.3V;
按照前面三种要求算出柴油发电机容量后,如果SG2、SG3比SG1大的较多,则说明电动机的起动方式需要进行适当的改变。在选择柴油发电机容量的时候,需要分析是电动机降压起动选择小容量发电机组,还是电动机直接起动选择较大容量发电机组,应该根据综合技术经济比较来确定。
4 数据中心机房柴油发电机选择实例
某数据中心机房负荷见表3。


其中动力负荷当中,制冷主机功率为340.2kW(容量最大电动机),水泵为45kW,均为三用一备,柴油发电机的单台容量及台数选择计算如下:

(1) 总的应急负荷计算
从上述计算当中可以发现,此处的柴油发电机总容量已经超过了2500kW,所以其电压等级应为10.5kV.从负荷计算表中不难发现,2层与3、4层机房的机柜用电量接近,所以可以把动力负荷与机房UPS负荷分为两个容量接近的部分,然后计算单台柴油发电机的容量。
(2 )按照发电机过负荷能力选择的计算
起动时柴油发电机1所带负荷:2层机房负荷+2层动力负荷+两台冷水机组+两台水泵=1669.64kW,起动时柴油发电机2所带负荷:3、4层机房负荷+3、4层动力负荷+一台冷水机组+一台水泵+插座=1540.27kW。
可以看出,柴油发电机1所带负荷大容量电动机台数多,所以,可以根据柴油发电机1的计算结果确定单台柴油发电机的容量,计算结果如下:

从上述计算可以看出,在冷冻机采用软起动方式,起动系数为3时,单台柴油发电机的容量可以选择2000kW。
(3)按照母线允许的电压降计算

综上所述,本例当中的柴油发电机采用10.5kV,2000kW柴油发电机并机方式或者采用单母线分段接线方式。
5 结束语
数据中心机房柴油发电机系统多使用柴油发电机并机运行的方式,所以在计算柴油发电机容量的时候,需要先对由柴油发电机所带负荷进行合理的分组,根据分组容量计算单台容量,再确定台数,经多方面比较后确定一个既保证系统可靠稳定,又保证良好经济效益的方案。