

地址:北京市密云区高岭镇政府办公楼
王经理 13393261468
Q Q:514468705/1049705527
邮箱:jhcxkj@163.com
1 UPS在数据中心中的作用及其能耗分析
数据中心的供电不能有一刻的间断,即使只有几秒钟的中断也可能造成重要数据丢失/设备损坏,甚至会影响数据中心的正常运行,造成严重的经济损失。随着信息技术及相关产业的飞速发展,UPS供电系统成为数据中心业务运行的可靠保障。
随着行业的发展和计算机技术的广泛应用,越来越多的数据中心需要UPS供电系统的保护。对于数据中心,UPS系统已不能只作为在停电后向负载继续供电的整机产品,而是作为一个高可靠、高智能的供电平台,为整个数据中心进行全面的保护,不仅能够提供后备时间,还能够改善电网的质量。因此,UPS作为计算机的重要外设,在保障负载用电、改善电能质量、防止电网对负载造成危害等方面起着十分重要的作用。
由于UPS是常年不间断运行的设备,提高UPS整机效率是降低数据中心能耗的关键因素。效率每提高1%,每年的节电量就非常可观。并且,UPS以热量形式散发的损耗也将降低,空调系统也会因此节能。在分析UPS系统能耗时,应充分考虑以下因素:
(1) UPS的效率和负载率有着直接的关系
通常,UPS技术参数中给出的效率值,是在额定负载以及其他各种适宜的系统状态下得出的,代表着UPS可以达到的最佳效率。但是,很少有UPS运行在100%负载下。当负载率较低时,UPS的效率将有较大的下降。
(2) UPS系统的效率不应仅考虑UPS本机自身的效率
不同的UPS由于采用不同的拓扑或技术,在系统配置上有很大差别。例如采用IGBT整流的UPS,不需要增加滤波装置就可以满足系统要求。而采用6脉冲整流的UPS,为满足系统要求必须配置滤波器;高频机型UPS(本文简称“高频机”)不需要增加输出变压器就可以满足供电电压要求,而工频机型UPS(本文简称“工频机”)必须增加输出变压器才能满足电压要求。因此,在分析UPS系统效率时,应考虑包括其辅助设备(如滤波器、隔离变压器等)在内的UPS整体系统效率。
2 UPS基本原理与结构
UPS可以分为工频机和高频机。传统的工频机由SCR整流器、IGBT逆变器和输出变压器组成,如图1所示。由于整流器采用的SCR整流技术属于降压整流,造成UPS的输出电压低于输入电压,必须在输出端配备升压变压器才能满足输出电压的要求。

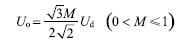
工频机的逆变器采用PWM调制技术,为PWM逆变器。根据电路工作原理,直流母线电压与UPS逆变器输出线电压的关系为
(1)
式中Uo为输出线电压的有效值;Ud为整流器输出的直流母线电压;M为逆变器调制比。
根据式(1),当UPS要求输出线电压为380V时,直流母线电压Ud必须大于620V。工频机采用三相桥式整流时,直流母线电压Ud与输入交流电压Ui的关系为
(2)
式中Ui为输入线电压的有效值。根据式(2),当UPS输入线电压为380V时,直流母线电压不会超过513V,这样UPS的输出不能达到380V,必须通过变压器升压才能满足要求。在中、大功率场合,高频机的主电路由IGBT整流器、充电器和IGBT逆变器构成,如图2所示。整流器和逆变器的开关管均为IGBT,工作频率在10kHz以上,因此这种结构的UPS被称为高频机。由于高频机整流器采用PWM整流技术属于升压整流,UPS输出电压可以满足负载要求,因此输出无需配备升压变压器。

IGBT整流器具有升压功能,可以根据需要调节输出直流母线电压的大小,从而满足UPS输出交流电压的要求。IGBT整流器输出的直流母线电压与输入线电压的关系
式为
(3)
式中Ui为输入线电压的有效值;Ud为整流器输出的直流母线电压。
根据式(3)可知,当市电输入的线电压Ui为380V时,Ud的大小可以通过改变调制比M来调节,满足Ud大于620V。这样,逆变器的输出电压就可以满足380V的要求,无需设置升压变压器。
3 UPS能耗分析
(1)变压器损耗
根据上述分析可知,工频机输出电压较低,需要额外增加输出变压器,而高频机可以直接输出符合要求的电压,不需要设置输出变压器。变压器造成的损耗占UPS总损耗很大比例。变压器损耗分为铁耗、铜耗和杂散损耗,其中杂散损耗占比很小,本文不予讨论。
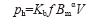
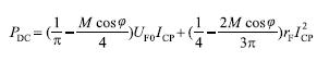
交流电流在变压器铁心中产生交变磁场,在此交变磁场作用下,所产生的磁滞损耗和涡流损耗,统称为“铁耗”,一般认为铁耗不随负载而变化,并以额定电压下变压器的空载损耗为铁耗。UPS的空载损耗占UPS总损耗的40%左右,变压器的空载损耗为UPS空载损耗的主要组成部分。磁滞损耗ph为铁心中建立交变磁通、克服磁畴回转所需的功率,与铁磁材料、磁场交变频率有关,工程上可表述为
(4)
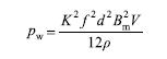
式中,Kh为不同材料的计算系数,f为磁场交变频率,Bm为磁感应强度的最大值,α为由实验确定的正指数,V为铁心的体积。变压器硅钢片铁心中的涡流损耗为
(5)
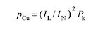
式中,K为电势比例常数,d为硅钢片厚度,ρ为硅钢片电阻率。变压器绕组由铜线绕制,电流流经绕组时将产生损耗,一般称为铜损(pCu),其大小与负载电流的平方成正比
(6)
式中,IL为负载电流,IN为额定电流,Pk为短路试验测定的变压器短路损耗。高频机与工频机相比少了输出变压器,大大减少了UPS的损耗,提高了效率。
(2)滤波电感损耗
工频机的整流器通常为二极管不控整流或SCR组成的半控整流,工作频率为50Hz,谐波频率较低。而高频机的整流器和逆变器均工作在10kHz以上,UPS产生的谐波主要为高频谐波,可以使用较小的滤波电感就可以达到很好的滤波效果。与工频机相比,高频机使用的滤波电感体积较小,重量较轻,阻抗值也比较小。
电感的损耗也可以分为铁损和铜损,电感的铁损包括磁滞损耗和涡流损耗,其计算方法与变压器类似。由式(4)、(5)可见,磁滞损耗与开关工作频率成正比,与铁心体积成正比;涡流损耗与开关工作频率的平方成正比,与铁心体积成正比。与工频机相比,高频机开关频率较高,所用的滤波电感较小,铁心体积较小;此外,高频机使用的滤波电感绕组电阻较小,所以铜损较低。
总的来说,工频机与高频机在滤波电感上的损耗相差不大,且占UPS总损耗的比例不高。
(3)开关损耗
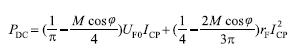
不同的PWM调制方式导致的开关损耗不同,以下仅以单极性PWM调制为例简要作介绍。每个IGBT模块由一个IGBT与一个反并联二极管组成,其中IGBT的通态损耗为
(7)
式中,M为调制比,φ为电压电流相位差,UCE0为门槛电压,rCE为IGBT等效通态电阻,ICP为IGBT电流。
IGBT的开关损耗用下式可满足工程计算的要求
(8)
式中,fSW为IGBT开关频率,ESW(on)P、ESW(off)P分别为额定电流ICN与额定电压UCEN时开通、关断一次损失的能量,Ud为直流母线电压。反并联二极管的通态损耗为
(9)
式中,UF0为二极管门槛电压,rF为二极管通态等效电阻。
反并联二极管的开通损耗可忽略不计,其关断损耗为
(10)
式中,EDiode(off)P为额定电流ICN与额定电压UCEN下二极管关断一次损失的能量。
高频机逆变器所用IGBT额定电压要比工频机高一倍,但两者的IGBT与二极管的门槛电压、等效通态电阻相差不大;此外由于工频机直流母线Ud较低,需要用输出变压器将逆变器输出电压升压至380V,而高频机的逆变器直连输出,因此工频机逆变器输出电流要比高频机大。由式(7)和式(9)可见,工频机逆变器的通态损耗比高频机要高,据测算要增加90%~150%。
由于工频机整流器采用不控器件二极管或半控器件晶闸管进行整流,直流母线电压范围较宽,逆变器难以一直工作在最优点;而高频机采用全控器件IGBT整流,直流母线电压基本保持不变,逆变器工作在其设计的最优点,从而提高了逆变器的效率。
UPS是数据中心的重要基础设施之一,其能耗的降低对数据中心整个生命期内总拥有成本TCO有重要作用。通过前面的分析可知,高频机造成的能耗要比工频机小,最主要的因素是变压器损耗,由于变压器有较大的空载损耗,造成工频机的空载损耗较大,即在较低的负载率时效率不高,能耗较大。
举例来说,两套320kW的UPS,系统架构均为2+1,分别为工频机和高频机。虽然两者公布的效率满载时都在90%以上,但N+1架构的UPS不会运行在100%负载情况下。根据GB50174-2008《电子信息机房设计规范》,UPS单机负载率不能超过83.3%,在2+1配置下,UPS负载率不会超过55.53%。UPS的损耗可以根据下式来计算
(11)
式中,Ploss为有功功率损耗;PN为UPS额定有功功率;S为负载率;η为UPS效率。
对于本例,假设负载率为30%时,工频机的效率约为80%,而高频机可以达到90%。根据式(11),两者的损耗分别为

这些由UPS损耗造成的热量必须由制冷系统排出,假设空调能耗比为3:1,即每3kW的热量需要由1kW的制冷功率来排出。则两套UPS的电力损耗分别增至32kW和14.23kW。假设电费成本为1元/kWh,每年两套UPS的电力损耗成本分别为280320元和124654.8元,即高频机比工频机每年节省电费155665.2元。
综上所述,同等容量的高频机要比工频机更节能,在负载率低的情况下节能效果更加显著。
4 结束语
UPS系统的能耗降低可以提高供电系统的效率,降低整个数据中心的电力使用效率PUE,有助于建设更加绿色高效的数据中心。
作者简介
孙建侠(1989-),女,中国民航信息网络股份有限公司电气工程师。主要负责UPS供电系统的运维、供电架构分析和设备配置工作。
丘晓明(1987-),男,中国民航信息网络股份有限公司电气工程师。主要负责UPS供电系统的运维、系统架构设计和关键设备选型工作。
李瑞强(1970-),男,中国民航信息网络股份有限公司资深电气工程师。长期从事数据中心供电系统管理、系统架构设计和技术分析工作。
编辑:Harris
关键词:ups电源参数http://www.yongchun0769.com/list-3-1.html